Páginas

10/29/2010

Noticia

El Consejo de Rectores, que agrupa a las 25 universidades consideradas "tradicionales", anunció que los puntajes de las PSU que se rindan a partir de este año tendrán una validez de dos años, con lo que un joven que desea no inscribirse o cambiar d carrera no debe rendir la prueba de nuevo si lo hace en el año inmediatamente posterior al rendimiento del test de ingreso.

"El Consejo de Rectores acoge la petición hecha por el Presidente de la República y el ministro de Educación en el sentido que el puntaje sea mantenido por 2 años consecutivos. Vamos a seguir trabajando junto al ministerio de Educación para asegurar que ningún estudiante pierda beneficios o ayudas estudiantiles con la implementación de esta medida. Creemos que es una buena iniciativa porque va a permitir que los estudiantes que por vocación deciden cambiar de carrera no deban rendir el examen nuevamente", señaló el vicepresidente Ejecutivo del Consejo,Víctor Pérez, rector de la Universidad de Chile.

La medida regirá a partir de la rendición de la PSU de este año, y se considerará como válida la última rendición. Es decir, si un estudiante rinde la prueba este año y decide repetirla al siguiente, es siempre el último puntaje obtenido el que será considerado.

En relación al presupuesto 2011, el Consejo de Rectores manifestó su preocupación. "Según este presupuesto, educación superior no es una prioridad para este país. Creemos como Consejo que vía instrumentos de financiamiento, se está imponiendo una política pública sin el debido debate nacional. Al abrir convenios de desempeño, en la práctica se está imponiendo una política y lo que se está haciendo es mantener los recursos públicos aumentando los postulantes. Eso tiene consecuencias en la calidad y cobertura que se da a la educación superior, y si se quiere imponer una política que abra los recursos fiscales, debe haber un debate al respecto", sostuvo Pérez.

Por otra parte el Consejo criticó el congelamiento de los fondos del crédito solidario, con lo que se pone en riesgo una cohorte completa de estudiantes que quedarían sin apoyo del Estado.

En otros aspectos, se valoró el aumento de recursos para Fondecyt. Sin embargo, se vio con preocupación la reducción de los fondos regionales de ciencia e innovación y de los recursos destinados a la investigación asociativa.

"Aunque se dice que el presupuesto aumenta en un 8%, ése es el promedio, y hay que tener presente que el mayor crecimiento del presupuesto en educación superior se explica por aportes financieros de provisiones de garantías para el crédito con aval del estado. Vale decir, no hay efectivamente mayores recursos. Nosotros esperamos que en la discusión del presupuesto, el gobierno y el parlamento resuelvan estos problemas" concluyó el rector Pérez.

La incónita que nos deja Diofanto ....


No todo puede ser ejercicios tipo PSU, aunque este se ajusta demasiado ... ja ja ja ... vean la incógnita que nos dejó Diofanto y a resolverla .....

Diofanto:

Su niñez duró 1/6 de su vida.
Le creció la barba luego de un doceabo de lo que duró esa vida.
Tras (1/7) se casó.
Tuvo un hijo 5 años más tarde.
Su hijo vivió la mitad de la vida del padre.
El padre, Diofanto, pereció 4 años más tarde.

¿Cuál es la Ecuación de Diofanto?
¿Cuántos años vivió Diofanto?

Solución al Planteamiento de Diofanto ....

Respuesta, o valor de x en los comentarios!

10/27/2010

Facsímil Matemáticas con respuestas

Facsímil Matemáticas con respuestas para la prueba que ya se viene, no olvides revisar en nuestra pagina mas ensayos y materia para que puedas tener mas material de estudio.




Para descargar pincha acá !!

Desafío - Probabilidad

Respuesta: Como no hay reposición, cada vez que se saca una bola de las solicitadas, va quedando una bola menos en la caja .... y cada una de las sacadas es independiente del suceso anterior.

Hay 12 rojas de 50, en la primera sacada: 12/50
Si se sacó una roja, en la segunda sacada hay 20 de 49: 20/49
En la tercera sacada, habiéndose sacado una roja y una café, hay 18 de 48: 18/48
En la primera se sacó una roja y se han sacado 3 bolas, en la última, la probabilidad de roja es 11/47.

Luego, la probabilidad pedida es: (12/50)(20/49)(18/48)(11/47), alternativa E)

Fuente: DEMRE
NEM: Tercero Medio.
Eje Temático: III. Probabilidad y Estadísticas.
CMO: Probabilidad.

Desafío - Probabilidad

Se tiene dos urnas con bolas. La primera contiene 2 bolas blancas y 3 bolas negras; mientas que la segunda contiene 4 bolas blancas y una bola negra. Si se elige una urna al azar y se extrae una bola, ¿cuál es la probabilidad de que la bola extraída sea blanca?

A) 6/5 ; B) 8/25 ; C) 2/5 ; D) 3/5 ; E) 4/5

Respuesta:

Para obtener la probabilidad pedida se debe efectuar la siguiente operación

(1/2)(2/5) + (1/2)((4/5) = 3/5 ,

donde el 1/2 corresponde a la probabilidad de elegir una de las urnas, el 2/5, de sacar una bola blanca de la primera urna y el 4/5 de sacar una bola blanca de la segunda urna.

Alternativa correcta: D.

Fuente: DEMRE - Resolución Danny Perich.
NEM: Tercero Medio.
Eje Temático: III. Probabilidad y Estadísticas.
CMO: Probabilidad.

Desafío - Probabilidades

Se extraen dos cartas, una tras otra, sin devolución, de una baraja de 40 cartas.
Calcular la probabilidad de que ambas cartas sean reyes.

A) 1/100 ; B) 1/5 ; C) 1/130 D) 23/130 ; E) 1/20

Respuesta:

La probabilidad de obtener un rey en la primera sacada es 4/40 y luego de extraer otro rey, sin devolución, es 3/39, por lo tanto la probabilidad total es:

(4/40)(3/39)=(1/10)(1/13)=1/130

La alternativa C es correcta.

Fuente: DEMRE - Resolución Danny Perich
NEM: Tercero Medio.
Eje Temático: III. Probabilidad y Estadísticas.
CMO: Probabilidad.

10/26/2010

Desafío - Perímetro de Trapecio

Respuesta: Lo primero es que, al ser el cuadrilátero ABCD un trapecio, Trazo CD es paralelo a la base AB de rectángulo.

Luego Triángulo DCF es rectángulo en vértice D.

Usaremos el teorema de Thales 2 veces, veamos!

Alternativa D)

Fuente: DEMRE
NEM: Segundo Medio.
Eje Temático: II. Geometría.
CMO: Teorema de Thales

10/25/2010

Desafío - Lenguaje Algebraico

Respuesta:
Alternativa B)

Fuente: DEMRE
NEM: Primero Medio.
Eje Temático: I. Álgebra y Funciones.
CMO: Lenguaje Algebraico.

Desafío - Lenguaje Algebraico

Respuesta:
Alternativa D)

Fuente: DEMRE
NEM: Primero Medio.
Eje Temático: I. Álgebra y Funciones.
CMO: Lenguaje Algebraico.

Desafío - Lenguaje Algebraico

Respuesta:
Fuente: DEMRE
NEM: Primero Medio.
Eje Temático: I. Álgebra y Funciones.
CMO: Lenguaje Algebraico.

Desafío - Lenguaje Algebraico

Respuesta:
Alternativa D)

Fuente: DEMRE
NEM: Primero Medio.
Eje Temático: I. Álgebra y Funciones.
CMO: Lenguaje Algebraico.

10/24/2010

Ensayo PSU Matematicas 2010

Esperando que estén estudiando y haciendo facsímiles de matemáticas para esta prueba, les dejo este ensayo de matemáticas para que ejerciten y vean que tal están para quedar en la Universidad, que espero sea una de consejo de rectores.

Para descargar Pincha acá


Ensayos y facsímiles de matemáticas, ejercicios con resultados

10/21/2010

Desafío - Funciones


¿En cuál de las anteriores funciones, las imágenes de f son siempre NO negativas?

A) Sólo I
B) Sólo I y II
C) Sólo I y III
D) Sólo II y III
E) I, II, III

Respuesta:

I) Es siempre NO negativa por cuanto el cuadrado y la cuarta potencia son siempre no negativos.

II) el "x" de fuera del paréntesis, multiplicado por 3, puede ser negativo cuando "x" lo sea. Esta a veces, solamente, es no negativa, pero NO siempre!

III) Todo cuadrado es siempre no negativo. Esta es NO negativa Siempre!

I) y III) son NO negativas SIEMPRE!

Alternativa C)

Fuente: Editorial Universitaria - DEMRE.
NEM: Segundo Medio.
Eje Temático: I. Álgebra y Funciones.
CMO: Funciones.

Desafío - Evaluar Funciones


Sean las funciones como arriba están definidas.
El valor de f(0) - g(-1) es:

A) -2
B) -1
C) 0
D) 1
E) 2

Respuesta:
Alternativa B)

Fuente: Editorial Universitaria - DEMRE
NEM: Segundo Medio.
Eje Temático: I. Álgebra y Funciones.
CMO: Funciones.

Desafío - Ecuación Exponencial


El valor de x en la anterior ecuación es:

A) -3
B) -2
C) -1
D) 2
E) 3

Respuesta:


Alternativa B)

Fuente: Editorial Universitaria - DEMRE.
NEM: Cuarto medio.
Eje Temático: I. Álgebra y Funciones.
CMO: Ecuaciones Exponencial.

Desafío - Problema de Planteo

María e Isabel juegan a los dados. Al comenzar el juego María tenía $ 10.000 e Isabel por su parte, $ 6.000. Después de un tiempo se tiene que María tiene el triple de lo que tiene Isabel. ¿Cuánto dinero es el que ha ganado María?

A) $ 2.000
B) $ 3.000
C) $ 4.000
D) $ 5.000
E) $ 6.000

Respuesta: La plata en juego, es la suma de ambas platas = 16.000, que se van a ir distribuyendo a lo largo del juego en diversos montos que suman esta cantidad.

Al comienzo del juego: María (M) tiene: 10.000 ; Isabel (I) tiene: 6.000.

Luego, tras jugar se tiene: M = 3I, pero ambas siguen sumando 16.000.

es decir: 3I + I = 16.000
luego 4I = 16.000
I = 4.000

Entonces M = 3I = 3(4.000) = 12.000

Luego María ha pasado de 10.000 a 12.000, la ganancia es de 2.000.


Alternativa A)

Fuente: Editorial Universitaria - DEMRE.
NEM: Primero Medio.
Eje Temático: II. Álgebra y Funciones.
CMO: Problema de Planteo.

10/20/2010

Desafío - Raíces


A) 2
B) 3
C) 6
D) 7
E) 12

Respuesta:
Lo anterior nos lleva a la fracción: 42/6 = 7 ; Alternativa D)

Alternativa D)

Fuente: Editorial Universitaria - DEMRE
NEM: Tercero Medio.
Eje Temático: I. Álgebra y Funciones.
CMO: Raíces. Raíces Cuadradas y Cúbicas.

Desafío - Ecuación Cuadrática


La anterior ecuación es dependiente del tiempo "t" en segundos. Entonces, ¿Cuánto tiempo debe trasncurrir para que se cumpla la igualdad?

A) 1 segundo.
B) 2 segundos.
C) 3 segundos.
D) 4 segundos.
E) 5 segundos.

Respuesta: Para que se cumpla la igualdad, la anterior ecuación simplificada y reordenada, nos lleva a buscar sus raíces ....

Esto nos lleva a dos raíces, pero solamente sirve la positiva porque no consideramos tiempos negativos ...

t = 4 segundos ----- Alternativa D)

Fuente: Editorial Universitaria - DEMRE.
NEM: Tercero Medio.
Eje Temático: I. Álgebra y Funciones.
CMO: Ecuación Cuadrática.

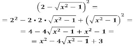
Desafío - Productos Notables + Raíces


Si se dan las dos relaciones anteriores, entonces, ¿Cuál es el valor de (x+y)?

A) + - 4
B) 6
C) + - 8
D) + - 16
E) 64

Respuesta:
Alternativa C)

Fuente: Editorial Universitaria - DEMRE
NEM: Tercero Medio.
Eje Temático: I. Álgebra y Funciones.
CMO: Raíces. Productos Notables.

Desafío - Ángulos



En la figura anterior, el Triángulo PQR es rectángulo en A, si Trazo RZ = Trazo QZ, entonces la suma de los ángulos (x) y (A) es:

A) 90 + B
B) 180 - B
C) 360 - B
D) 180 - 2B
E) 360 - 2B

Respuesta: En el triángulo:

90 + A + B = 180

A = 90 - B

Pero Ángulo A es igual a Ángulo X, pues Trazo RZ = Trazo QZ (Triángulo Isósceles)

A + X = 2A = 2(90 - B) = 180 - 2B ; Alternativa D)

Fuente: Editorial Universitaria - DEMRE
NEM: Primero Medio.
Eje Temático: III. Geometría.
CMO. Geometría Básica.

10/19/2010

Desafío - Puntos en el Espacio.

En relación a cuatro puntos diferentes en el espacio, es siempre verdadero que:

I. Tres de ellos pertenecen a una recta.
II. Los cuatro son coplanares.
III. Tres puntos no colineales determinan un único plano.

A) Sólo I.
B) Sólo II.
C) Sólo III.
D) I y III.
E) II y III.

Respuesta: Veamos cada una de las sentencias I, II y III:

I) No necesariamente 3 puntos en el espacio deben pertenecer a una recta. Piense en los puntos, de los extremos de 3 de las 4 patas de una mesa ideal. No forman parte de una recta.

II) No necesariamente. Piense a hora en los cuatro puntos extremos de las patas de una mesa. Teóricamente debiesen ser coplanares .... casi ninguna mesa NO cojea, eso quiere decir que esos 4 puntos ideales no son coplanares.

III) Verdadera: Tres puntos no colineales determinan un único plano.

Sólo III. Alternativa C)

Fuente: Proyecto SER - Santillana.
NEM: Cuarto Medio.
Eje Temático: II. Geometría Espacial.
CMO: Geometría Espacial.

Desafío - Geometría Espacial

En el espacio se consideran tres rectas. Dos de ellas son perpendiculares entre sí y la tercera es una recta cualquiera. ¿ Cuál(es) de las siguientes es(son) una afirmación NECESARIAMENTE verdadera(s)?

I. Las dos rectas perpendiculares son coplanares.
II. Existe un punto común entre las tres rectas.
III. La tercera recta es paralela a una de las otras dos.

A) Sólo I.
B) I y II.
C) I y III.
D) II y III.
E) Todas.

Respuesta: Veamos cada una de las sentencias propuestas:

I. Efectivamente 2 rectas perpendiculares forman un plano, son necesariamente coplanares.

II. No es necesario, se pueden cortar formando un triángulo, es decir, entre dos rectas pueden tener sólo un punto en común. Ver:

III. No es necesario, pueden tener un punto en común las tres rectas ....

Sólo I es necesariamente VERDADERA. Alternativa A)

Fuente: Proyectos SER - Santillana.
NEM: Cuarto Medio.
Eje Temático: II. Geometría.
CMO: Geometría del Espacio.

Desafío - Tabla de Pascal

En el triángulo de Pascal, como se muestra en la figura, ¿Cuál es el número que ocupa el quinto lugar en la diagonal señalada por la flecha?

A) 35
B) 21
C) 20
D) 15
E) Ninguno de los Anteriores.

Respuesta:
Alternativa D)

Fuente: Proyecto SER - Santillana.
NEM: Tercero Medio.
Eje Temático: III. Probabilidad y Estadísticas.
CMO: Triángulo de Pascal.

Desafío - Probabilidad a Posteriori


Las frecuencias de cada uno de los resultados que se obtienen al lanzar dos monedas se muestra en la tabla adjunta:
¿Cuál(es) de las siguientes afirmaciones es(son) verdadera(s) con respecto a la frecuencia relativa?

I. Para el suceso "obtener dos sellos" fue 0,28.
II. La obtención de "al menos una cara" tuvo frecuencia 0,72.
III. La frecuencia del suceso "obtener lo mismo en ambas monedas" fue 0,27.

A) Sólo I.
B) Sólo II.
C) I y II.
D) I y III.
E) II y III.

Respuesta: Veamos cada una de las aseveraciones:

I. Efectivamente, el experimento muestra que la probabilidad frecuentista es de 0,28 para 2 sellos a la vez. Verdadera.

II. Al menos una cara implica una suma P(CC) + P(CS) + P(SC) = 1 - P(SS) = 0,72. Verdadera.

III. La probabilidad de obtener lo mismo en ambas monedas es:
P(CC) + P(SS) = 0.22 + 0.28 = 0.5 Es falsa la aseveración.

I.) y II.) son verdaderas, Alternativa C)

Fuente: Proyecto SER -Santillana.
NEM: Tercero Medio.
Eje Temático: III. Estadísticas y Probabilidad.
CMO: Probabilidad a Posteriori. Probabilidad Frecuentista.

10/18/2010

Desafío - Pendiente de una recta

Encuentre la pendiente de una recta con ecuación: 6x - 8y = 3

A) -4/3
B) -3/4
C) 4/3
D) 3/4
E) 2

Respuesta: Ponemos la ecuación de la forma y = mx + n, desde donde sacamos la pendiente (=m).

6x - 8y = 3
8y = 6x - 3
y = (6/8)x - 3/8

m = 6/8 = 3/4, Alternativa D)

Nota: Su anterior resolución estuvo mala, gracias a una visita pude percibirlo y se debió a una mala copia de la ecuación al momento de resolverla!

Fuente: Manual PSU - U.Católica.
NEM: Segundo Medio.
Eje Temático: I. Álgebra y Funciones.
CMO: Geometría Analítica.

Desafío - Media Aritmética

Para el siguiente conjunto de datos:

2, 2, 1, 2, 3, 2, 1, 2, 3

la media aritmética es:

A) 1
B) 2
C) 2,5
D) 3
E) 3,5

Respuesta:

La Media Aritmética es: (2+2+1+2+3+2+1+2+3)/9 = 18/9 = 2 ; Alternativa B)

Fuente: Manual PSU - U.Católica.
NEM: Cuarto Medio.
Eje Temático: III. Probabilidad y Estadísticas.
CMO: Estadígrafos.

Desafío - Estrella

Las cuardas: AB, BC, CD, DE y EA son todas congruentes. ¿Cuánto mide la suma de los ángulos marcados en la figura?

A) 36º
B) 72º
C) 108º
D) 120º
E) 180º

Respuesta: Los 360º están divididos en 5 arcos que miden cada uno:
(360º/5) = 72º.

Pero la medida de los arcos es el doble de los ámgulos incritos que subtienden, luego, cada uno de los tres ángulos marcados mide lo mismo, la mitad del arco que subtienden = 72º/2 = 36º.

Y como son tres los ángulos a sumar, el resultado es
3(36º) = 108º ;
Alternativa C)

Fuente: Manual PSU - U.Católica.
CMO: Segundo Medio.
Eje Temático: II. Geometría.
CMO: Ángulos en la Circunferencia.

Desafío - Ángulos


En la figura adjunta, O es el centro de la semicircunferencia y arco CB es 3 veces el arco AC. ¿Cuánto mide el ángulo x?

A) 22,5º
B) 30º
C) 45º
D) 67,5º
E) 75º

Respuesta: Los 180º de la semicircunferencia los dividimos en la proporción que plantea el problema .... ponemos atención en que trazo AO y CO son radios, por lo que el triángulo AOC es isósceles de base CA. Luego el ángulo x se repite en el ángulo OAC, ello nos permite calcular el valor del ángulo OCA. A continuación hacemos todo esto:


Fuente: Manual PSU - U.Católica.
NEM: Segundo Medio.
Eje Temático: II. Geometría.
CMo: Ángulos en la Circunferencia.

10/16/2010

Desafío - Métodos de Enumeración

(Nota, este ejercicio NO es prototípico de la PSU actual)

En un barco se dispone de 5 banderas de diferentes colores. ¿Cuántas señales se pueden enviar izando 3 banderas en un mástil?

A) 5
B) 10
C) 15
D) 30
E) 60

Respuesta:

Este es un ejercicio poco habitual en la PSU. Corresponde a la Materia de Métodos de Conteo y por lo general se utiliza una "Permutación" para resolverlo.

Una alternativa es hacer el conteo exhautivamente, es decir, pensamos en 5 colores

NEGRO - ROJO - AZUL - VERDE - CELESTE

y con ellos formamos todas las posibles ordenaciones de a tres colores.

Como en el programa Paint es muy fácil dibujar círculos de colores (no usaremos banderas), ponemos estos círculo hacia el lado, en vez de hacia abajo como en un mástil y formamos todos los posibles arreglos:

Todas las posibles señales,
recordando que:
NO es lo mismo poner (rojo, verde, negro) que (negro, rojo, verde),
(Nota: Ordenaciones diferentes de colores iguales son distintos mensajes)

son:

Son efectivamente 60 DIFERENTES MENSAJES!

Lo anterior se puede sacar
utilizando una permutación de 5 sobre 3,

P(5,3) = 5!/{(5-3)!}

5!/{(5-3)!} = (5)(4)(3)(2!)/(2!) = (5)(4)(3) = 60

Los sesenta resultados antes enumerados exhautivamente. Alternativa E)

Fuente: PAA Pedro de Valdivia.
NEM: Segundo Medio.
Eje Temático: III. Probabilidad y Estadística.
CMO: Métodos de Enumeración.
==========
Link al Diccio-Mates:
Concepto: Permutaciones:

Desafío - Conjunto Solución


La ecuación anterior tiene como Conjunto Solución:

A) {-2,6}
B) {-3,4}
C) {3,-4}
D) {-3,-4}
E) {3,4}

Respuesta: El Conjunto de Solución está formado por las dos raíces de la ecuación cuadrática. Para encontrar las raíces, factorizamos:

(x-4)(x-3) = 0
Luego hay dos raíces: x1 y x2
x1=4
x2=3

El Conjunto Solución es: { 3, 4 }

Fuente: PAA Pedro de Valdivia.
NEM: Tercero Medio.
Eje Temático: I. Álgebra y Funciones.
CMO: Ecuación Cuadrática.

Desafío - Potencias

Respuesta: Recordamos que para dividir potencias de igual base (en este caso de base 2), se conserva la base común y se eleva a la resta de los exponentes, en el siguiente orden: exponente del numerador menos exponente del denominador:

Alternativa C)

Fuente: PAA Pedro de Valdivia.
NEM: Segundo Medio.
Eje Temático: I. Álgebra y Funciones.
CMO: Potencias de Exponente Entero.

10/15/2010

Desafío - Volumen


Respuesta: La altura del prisma de base cuadrada es equivalente a 4 radios (o dos diámetros) de las esferas inscritas. Por tanto: R = h/4. Luego, el volumen de una esfera es:

Alternativa A)

Fuente: Recopilación A. Sánchez.
NEM: Cuarto Medio.
Eje Temático: II. Geometría.
CMO: Volumen. Cuerpos Inscritos.

Desafío - Raíces



Respuesta:
En este caso es la alternativa E)

Fuente: Recopilcaión A. Sánchez.
NEM: Tercero Medio.
Eje Temático: I. Álgebra y Funciones.
CMO: Raíces.

Desafío - Álgebra Raíces

Respuesta:
Alternativa B)

Fuente: Recopilación A.Sánchez.
NEM: Tercero Medio.
Eje Temático: I. Álgebra y Funciones.
CMO: Raíces.

Desafío - Potencias

Respuesta:
Respuesta: C)

Fuente: Recopilación A. Sánchez.
NEM: Primero Medio.
Eje Temático: I. Números y Proporcionalidad.
CMO: Potencias.

10/14/2010

Lo mas importante para la dar la prueba...

Si sabes administrar tu tiempo, refuerzas los contenidos débiles y potencias tus habilidades ¡ey, vas por muy buen camino!Aunque quedan algunos meses, la sensación en el ambiente es que la cuenta regresiva se ha instalado y con ello, los nervios y la ansiedad pueden aparecer cuando menos lo necesitamos. ¿Cómo manejarlo?

Tips para estos meses
Es importante que el estudio sea parte

Desafío - Circunferencia

Si el centro de una circunferencia ubicada en el plano cartesiano es el punto A=(40,30) y P=(10,70) pertenece a esta circunferencia, entonces su perímetro es igual a:

A) 50 Pi
B) 70 Pi
C) 100 Pi
D) 200 Pi
E) 250 Pi

Respuesta: El radio es la distancia entre los dos puntos dados .... teniendo el radio tendremos el perímetro ....

Luego el perímetro es: (2)(Pi)(r) = (2)(Pi)(50) = 100 Pi ; Alternativa C)

Fuente: Texto 3ro. medio - Mare Nostrum - MINEDUC
NEM: Tercero Medio.
Eje Temático: I. Álgebra y Funciones.
CMO: Cónicas, Lugares Geométricos.

10/13/2010

Temario PSU 2010 Ciencias, Electivo Biologia, oficial Demre

Bueno en las pruebas electivas dividen la materia por año ya que de eso dependerá también luego que entrara respecto a la mención que tomen, la PSU general de ciencias es hasta segundo medio, el electivo que tomen es lo que incluye 3ero y 4to medio, por lo menos asi era hasta hace un tiempo, cualquier diferencia se editara.

Los dejo con los contenidos hasta 4to medio de BIOLOGÍA
Contenidos

Desafío - Función Cuadrática


Encuentra los valores de K en la anterior función, para que la gráfica de ella NO corte al eje de las abcisas (Eje X).

Respuesta:
Alternativa A)

Fuente: Modificación Santillana 3ro. medio.
NEM: tercero Medio.
Eje Temático: I. Álgebra y Funciones.
CMO: Función Cuadrática.

Desafío - Función Cuadrática


Encuentra todos los valores de K tales que la gráfica de la anterior función, corte al eje de las abcisas en dos puntos ....

Respuesta: Para que la función corte en dos puntos Reales y distintos, el valor del discriminante debe ser mayor que cero, veamos:

Alternativa E)

Fuente: Modificación Santillana 3ro. Medio
NEM: Tercero Medio.
Eje Temático: I. Álgebra y Funciones.
CMO: Función Cuadrática.