Páginas

11/08/2010

Desafío - Raíces



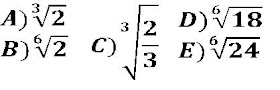
Respuesta: Igualamos índices en las dos raíces del numerador, luego multiplicamos y más tade dividimos por el denominador ....

Alternativa E)

Fuente: Recopilación A. Sánchez.
NEM Tercero Medio.
Eje Temático: Álgebra y Funciones.
CMO: Raíces.