Páginas

4/20/2011

Desafío - Trigonometría

La recta que pasa por el punto (0,3) y cuyo ángulo de inclinación es 60º tiene por ecuación:

Respuesta:

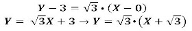
El Punto (0,3) es el Y-Intercepto .... la tángente del ángulo de inclinación es la pendiente ....

Usamos la fórmula:

Y - y1 = tan (alfa) { X - X1},
donde (alfa) = 60º, el ángulo de inclinación
y (x1,y1)=(0,3)

Y - 3 = tan (60º) {X-0} ....... Tg (60º) = raíz (3)

Así como va, la correcta es la alternativa A)

Fuente: Santillana 3ro. Medio.
NEM: Tercero Medio.
Eje Temático: II. Geometría.
CMO: Trigonometría.