3/07/2011

Desafío - Raíces

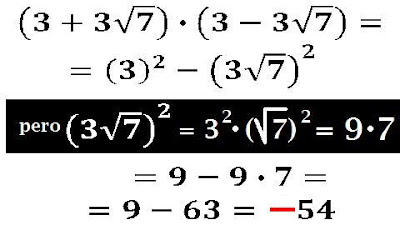
Respuesta: Acá hay un producto notable ESCONDIDO ....

Uno puede ordenar el primer paréntesis y descubrir que hay una SUMA x DIFERENCIA:


Alternativa D)

Fuente: PreuU. P.
de Valdivia.
NEM: Tercero Medio.
Eje Temático: I. Álgebra y Funciones.
CMO: Raíces.