10/04/2010

Desafío - Logaritmo

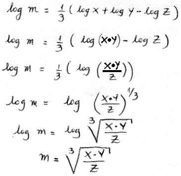
Respuesta:
Este resultado lo logramos igualando los argumentos, eso sucede cuando dos logaritmos son iguales y poseen la misma base!

Alternativa C)

Fuente: www.geolay
NEM: Cuarto Medio.
Eje Temático: I. Álgebra y Funciones.
CMO: Logaritmos.