EJERCICIOS PSU MATEMATICA, VIDEOS DE EJERCIOS DE MATEMATICAS, CLASES DE FISICA, QUIMICA Y COMPUTACION POR TUTORIALES.
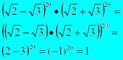
Respuesta:
Fuente: CEPECH
NEM: Tercero Medio.
Eje Temático: I. Álgebra y Funciones. 1. Álgebra.
CMO: a: Raíces.